Hệ thống nuôi synbiotic cho ra tôm có tỷ lệ sống cao hơn, năng suất vượt trội hơn và hệ số chuyển đổi thức ăn thấp hơn so với mô hình RAS và BFT.

Tôm thẻ chân trắng (Penaeus vannamei) là loài giáp xác không xương sống được nuôi rộng rãi nhất trong ngành thủy sản toàn cầu. Hiện nay, mô hình nuôi tôm thẻ chân trắng ở các khu vực nội địa với nguồn nước có độ mặn thấp đang dần trở nên phổ biến trên thế giới. Sự phát triển này có được là nhờ khả năng thích nghi vượt trội của loài tôm này, cho phép chúng chịu được nhiều mức độ mặn, nhiệt độ và mật độ thả nuôi khác nhau. Nhờ đó, tôm thẻ chân trắng có thể được nuôi hiệu quả trong các mô hình thâm canh hiện đại như hệ thống tuần hoàn nước (RAS), công nghệ biofloc (BFT) hay hệ thống synbiotic.
Các hệ thống này giúp tăng năng suất trong khi giảm lượng nước và diện tích đất cần dùng, nhờ đó trở thành lựa chọn thân thiện hơn với môi trường so với nhiều mô hình sản xuất khác. Trong hệ thống RAS, toàn bộ điều kiện nuôi được kiểm soát chặt chẽ; nước được xử lý qua nhiều bước lọc cơ học và sinh học trước khi được tuần hoàn trở lại bể nuôi. Còn BFT là mô hình dựa vào hoạt động của vi sinh vật, đặc trưng bởi việc điều chỉnh tỷ lệ carbon:nitơ (C:N) trong nước bằng cách bổ sung nguồn carbon hữu cơ đơn giản như mật rỉ hoặc đường. Cách này kích thích sự phát triển của vi khuẩn dị dưỡng để kiểm soát tổng lượng nitơ amoniac (TAN). Các vi khuẩn này sẽ đồng hóa amoniac thành sinh khối và hình thành các cụm vi sinh, gọi là biofloc.
Hệ thống synbiotic đã phát triển mạnh mẽ trong thời gian gần đây, mở ra nhiều tiềm năng mới cho các chiến lược quản lý bón phân trong nuôi tôm P. vannamei. Hệ thống này được đặc trưng bởi việc bổ sung cám thực vật vào nước, trong đó cám đã được xử lý bằng các chủng vi sinh vật probiotic như Bacillus, Lactobacillus và nấm men. Trong mô hình synbiotic, loại phân bón này vừa giúp cải thiện chất lượng nước thông qua việc hỗ trợ kiểm soát TAN nhờ cung cấp nguồn carbon hữu cơ, vừa đóng vai trò như nguồn thức ăn bổ sung giàu dinh dưỡng và mang lại lợi ích chức năng cho tôm. Điều này là do các vi sinh vật probiotic xâm chiếm và phát triển trên hạt cám trong quá trình chế biến; khi được đưa vào ao, tôm có thể trực tiếp tiêu thụ chúng. Bên cạnh đó, các vi khuẩn hóa tự dưỡng cũng phát triển trong cả hệ thống BFT và synbiotic, đóng vai trò quan trọng trong việc kiểm soát những hợp chất độc hại đặc biệt nguy hiểm như amoniac và nitrit trong điều kiện độ mặn thấp.
Khi mô hình nuôi tôm thẻ chân trắng ngày càng được mở rộng vào các vùng nội địa, nhu cầu làm rõ sự khác biệt giữa các hệ thống RAS, BFT và synbiotic trong điều kiện nước có độ mặn thấp trở nên đặc biệt cấp thiết. Hiện vẫn thiếu những nghiên cứu so sánh trực tiếp giữa các hệ thống này, nhất là về khả năng kiểm soát các hợp chất nitơ, sự biến đổi của cộng đồng vi sinh và ảnh hưởng đến tăng trưởng của tôm.
Những nghiên cứu theo hướng này đóng vai trò quan trọng trong việc giải quyết các thách thức đặc thù của nuôi tôm ở môi trường độ mặn thấp. Vì vậy, nghiên cứu này được thực hiện nhằm đánh giá tác động của hệ thống RAS, BFT và synbiotic lên chất lượng nước, cấu trúc sinh vật phù du và tốc độ tăng trưởng của tôm thẻ chân trắng (P. vannamei) trong điều kiện nước có độ mặn 2 g/L và mật độ thả cao.
Các tác giả xin chân thành cảm ơn sự hỗ trợ tài chính từ Cơ quan Điều phối Nâng cao Trình độ Nhân lực (CAPES), Hội đồng Quốc gia Phát triển Khoa học và Công nghệ (CNPq), Quỹ Hỗ trợ Nghiên cứu bang Rio Grande do Sul (FAPERGS), cùng toàn thể nhóm VSAREC.

Với việc nuôi tôm thẻ chân trắng ngày càng được mở rộng vào các vùng nội địa, cần đặc biệt lưu ý rằng hiện vẫn còn thiếu các nghiên cứu so sánh giữa các hệ thống RAS, BFT và synbiotic trong điều kiện nước có độ mặn thấp, cũng như đánh giá đầy đủ tác động của chúng đối với khả năng kiểm soát các hợp chất nitơ, cấu trúc vi sinh và tốc độ tăng trưởng của tôm.
Các nghiên cứu từ góc độ này rất quan trọng để vượt qua những rào cản do nuôi tôm trong điều kiện đặc thù này gây ra. Do đó, mục tiêu của nghiên cứu này là phân tích ảnh hưởng của hệ thống RAS, BFT và hệ thống synbiotic lên chất lượng nước, thành phần sinh vật phù du và sự tăng trưởng của tôm thẻ chân trắng (P. vannamei) trong nước có độ mặn 2 gam/lít và mật độ thả cao.
Các tác giả vô cùng biết ơn sự hỗ trợ tài chính từ Cơ quan điều phối nâng cao trình độ cán bộ cấp cao (CAPES), Hội đồng quốc gia về phát triển khoa học và công nghệ (CNPq), Quỹ hỗ trợ nghiên cứu của bang Rio Grande do Sul – FAPERGS và toàn thể nhóm VSAREC.
Thiết lập nghiên cứu
Nghiên cứu này được thực hiện tại Trung tâm Nghiên cứu và Khuyến nông Thủy sản Virginia (VSAREC), Viện Bách khoa Virginia và Đại học Bang (Virginia, Hoa Kỳ) (Hình 1a). Nuôi tôm thẻ chân trắng P. vannamei với mật độ 500 con/m3 (trọng lượng ban đầu: 1,27 ± 0,06 gam) trong các bể thí nghiệm thể tích 0,1 m³. Ba nghiệm thức được khảo sát, mỗi nghiệm thức lặp lại ba lần, gồm: hệ thống nuôi trồng thủy sản tuần hoàn (RAS), hệ thống biofloc (BFT) và hệ thống synbiotic (Hình 1b). Nước sử dụng trong thí nghiệm được chuẩn bị bằng cách trộn nước máy đã khử clo với muối nhân tạo thương mại (Instant Ocean Sea Salt), điều chỉnh để đạt độ mặn 2 g/L.

Hệ thống RAS có tổng dung tích 0,6 m³, vận hành tuần hoàn liên tục với lưu lượng khoảng 180 lít/giờ. Nước trước khi quay lại các bể thí nghiệm được xử lý qua bộ lọc cơ học dạng hạt nổi và lọc sinh học (bể chứa vật liệu K1 Kaldnes được sục khí liên tục). Hệ thống được rửa ngược định kỳ mỗi tuần một lần để làm sạch bộ lọc cơ học. Trước khi thả tôm, hệ thống RAS được cấy vi sinh bằng cách bổ sung amoni clorua (NH₄Cl) hai lần với liều 5 mg/lít trong vòng 10 ngày.
Nghiệm thức BFT sử dụng nước tĩnh, được tái sử dụng từ ao nuôi tôm thẻ chân trắng P. vannamei trước đó với độ mặn 28 g/L, sau đó được giảm dần và làm quen với độ mặn 2 g/L trong suốt 13 ngày. Đường dextrose được dùng làm nguồn carbon và chỉ bổ sung khi TAN đạt hoặc vượt 1 mg/L, theo tỷ lệ C:N là 15:1. Ở cả hai nghiệm thức RAS và BFT, chế phẩm sinh học thương mại (Sanolife Mic, INVE Aquaculture) được bổ sung hàng tuần với liều lượng 0,4 g/m³.
Nghiệm thức synbiotic được chuẩn hóa và hoàn thiện bằng 16 lần bổ sung cám gạo lên men mỗi ngày trước khi thả tôm. Hỗn hợp synbiotic gồm cám gạo (20 g/m³), men vi sinh thương mại (0,4 g/m³), dextrose (2 g/m³), natri bicacbonat (2 g/m³) và nước có độ mặn 2 g/L, được pha theo tỷ lệ 10:1 giữa thể tích nước sạch (L) và khối lượng cám gạo (kg). Hỗn hợp này được ủ kỵ khí trong 12 giờ, sau đó chuyển sang hiếu khí trong 12 giờ trước khi đưa vào hệ thống nuôi. Bên cạnh phân hữu cơ, nghiệm thức synbiotic còn được bổ sung NH₄Cl với liều 1 mg/L mỗi ngày để cung cấp nguồn nitơ vô cơ, hỗ trợ phát triển vi khuẩn nitrat hóa. Trong suốt thử nghiệm, việc bổ sung phân được thực hiện hàng ngày trong 15 ngày đầu, sau đó giảm xuống còn ba lần mỗi tuần. Cả hai nghiệm thức BFT và synbiotic đều được lắp thêm các giá thể nhân tạo (kích thước 15 × 15 cm, vật liệu K1 Kaldnes) nhằm tăng cường quá trình nitrat hóa. Nhiệt độ nước ở tất cả các nghiệm thức được duy trì ổn định khoảng 30°C bằng hệ thống sưởi.
Trong quá trình thí nghiệm, tôm được cho ăn hai lần mỗi ngày bằng thức ăn thương mại chứa 35% protein thô (Zeigler Bros.). Các chỉ số về hợp chất nitơ, nồng độ canxi và magiê, cũng như tỷ lệ Mg:Ca, đều được theo dõi thường xuyên. Việc thay 10% thể tích nước trong các đơn vị thí nghiệm được thực hiện khi tổng amoniac (TAN) vượt quá 1 mg/lít. Cuối thử nghiệm, các nhóm vi sinh vật động vật phù du chủ yếu trong nước đã được xác định và định lượng.
Kết quả và thảo luận
Vào giai đoạn đầu của thử nghiệm, nồng độ canxi dao động trong khoảng 90 mg/lít ở xử lý synbiotic và 100 mg/lít ở hệ RAS, trong khi magiê nằm trong khoảng 90 mg/lít tại RAS và 140 mg/lít ở xử lý BFT. Tỷ lệ Mg:Ca dao động từ 0,9:1 ở RAS đến 1,68:1 ở BFT. Đến cuối thử nghiệm, nồng độ canxi đo được là 110 mg/lít ở RAS, 80 mg/lít ở BFT và 90 mg/lít ở xử lý synbiotic. Nồng độ magiê lần lượt là 120 mg/lít, 100 mg/lít và 130 mg/lít. Tỷ lệ Ca:Mg vào thời điểm này là 1,09:1 ở RAS, 1,26:1 ở BFT và 1,44:1 ở xử lý synbiotic. Cả ở giai đoạn đầu và cuối, nồng độ ion canxi và magiê đều cao hơn mức khuyến nghị cho nuôi thâm canh tôm thẻ chân trắng (P. vannamei) trong môi trường nước lợ, với ngưỡng là 25 mg canxi /lít và 89 mg magiê /lít. Mặc dù tỷ lệ Mg:Ca không đạt mức khuyến nghị 3:1, nhưng điều này không ảnh hưởng tiêu cực đến tốc độ tăng trưởng của tôm trong suốt quá trình thử nghiệm.

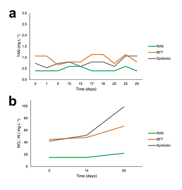
Giá trị TAN trung bình ở nghiệm thức BFT (0,83 mg/lít) và synbiotic (0,75 mg/lít) đều cao hơn so với nghiệm thức RAS (0,42 mg/lít). Ở BFT, nhiều lần TAN vượt quá 1 mg/lít (Hình 2a), đòi hỏi phải thay nước một phần, điều này cho thấy quần thể vi khuẩn oxy hóa amoniac vẫn chưa phát triển đầy đủ.
Trong các hệ thống nuôi tôm nước có độ mặn thấp, độc tính của amoniac và nitrit cao, do đó hệ thống cần được hoàn thiện để tránh các biến động đột ngột có thể gây hại. Mặc dù BFT có sự biến động về amoniac, nồng độ nitrit vẫn ổn định trong suốt thời gian thử nghiệm, trung bình duy trì dưới 0,50 mg/lít. Nồng độ nitrat trung bình cao hơn ở BFT (53,93 mg/lít) và synbiotic (61,27 mg/lít) so với RAS (17,80 mg/lít). Trong BFT và synbiotic, sự tích tụ nitrat được ghi nhận suốt quá trình thử nghiệm, đặc biệt ở synbiotic (Hình 2b), cho thấy hoạt động mạnh mẽ của vi khuẩn nitrat hóa, đặc biệt là vi khuẩn oxy hóa nitrit trong các nghiệm thức này.
Nhóm vi khuẩn này chịu trách nhiệm chuyển hóa nitrit thành nitrat. Mức nitrat thấp trong hệ thống RAS có thể được giải thích bởi việc rửa ngược bộ lọc cơ học hàng tuần, giúp loại bỏ phần lớn nitrat tích tụ trong hệ thống. Kết quả nghiên cứu cho thấy, hệ thống synbiotic kiểm soát các hợp chất nitơ hiệu quả hơn so với BFT trong các mô hình nuôi tôm siêu thâm canh sử dụng nước có độ mặn thấp. Hệ thống này cần ít thay nước hơn, duy trì nồng độ nitrit thấp (không phát sinh đột biến) và hỗ trợ tích tụ nitrat tốt hơn. Hiệu quả này đạt được nhờ giao thức xử lý trưởng thành synbiotic, bao gồm việc bổ sung hàng ngày phân hữu cơ từ cám gạo đã được xử lý bởi vi sinh vật probiotic kết hợp với phân bón nitơ vô cơ cho đến khi các hợp chất nitơ trong hệ thống ổn định.

Hệ thống synbiotic có mật độ trùng lông và amip cao hơn so với các hệ thống RAS và BFT. Trong tất cả các nghiệm thức, động vật nguyên sinh roi luôn chiếm ưu thế. Nghiệm thức RAS ghi nhận mật độ trùng amip cao nhất, đạt 21%. Về trùng lông, chúng chiếm 6,8% tổng số động vật phù du trong các nghiệm thức RAS và BFT, trong khi ở nghiệm thức synbiotic, con số này là 8% (Hình 3).
Đối với luân trùng, chúng chiếm 5% tổng số động vật phù du trong nghiệm thức RAS, 2,7% trong BFT và 2,6% trong synbiotic (Hình 3).
Sự xuất hiện của vi sinh vật nguyên sinh phản ánh sự ưu thế dị dưỡng, một đặc trưng nổi bật ở cả hệ thống BFT và hệ thống synbiotic. Sự phát triển của nguyên sinh được thúc đẩy nhờ có vi khuẩn. Ưu thế này giúp kiểm soát hiệu quả thực vật phù du, nâng cao chất lượng nước và duy trì cân bằng chu trình dinh dưỡng. Nhìn chung, mật độ vi sinh vật trong BFT và hệ thống synbiotic cao hơn so với RAS, điều này hoàn toàn phù hợp với đặc điểm vận hành của từng hệ thống nuôi.
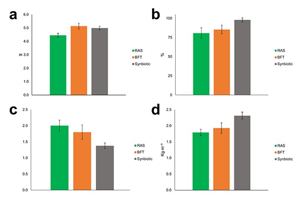
Việc duy trì liên tục vi sinh vật trong môi trường nuôi là một lợi thế của BFT và synbiotic, và điều này tác động trực tiếp đến hiệu quả sản xuất tôm thẻ chân trắng (P. vannamei). Trọng lượng cuối cùng của tôm trong nghiệm thức BFT (5,14 g) và synbiotic (4,99 g) đều cao hơn so với nghiệm thức RAS (4,45 g) (Hình 4a). Tỷ lệ sống ở nghiệm thức synbiotic (98%) cũng vượt trội so với RAS (80,67%) và BFT (85,33%) (Hình 4b).

Hệ số chuyển đổi thức ăn (FCR) ở nghiệm thức RAS (2,01) và BFT (1,80) đều cao hơn so với nghiệm thức synbiotic (1,38) (Hình 4c). Tương tự, năng suất nuôi ở nghiệm thức synbiotic (2,31 kg/m³) vượt trội hơn so với RAS (1,79 kg/m³) và BFT (1,93 kg/m³) (Hình 4d).
Kết quả nghiên cứu cho thấy việc sử dụng vi sinh vật như một nguồn thức ăn tự nhiên bổ sung mang lại hiệu quả tích cực cho tôm, giúp cải thiện tốc độ tăng trưởng, tỷ lệ sống, khả năng đề kháng, đồng thời giảm chi phí thức ăn và tăng năng suất. Hiệu quả này được thể hiện rõ nhất ở nghiệm thức synbiotic. Thêm vào đó, phương pháp synbiotic còn đem lại lợi ích bổ sung: cám gạo chế biến có thể được tận dụng làm phân bón, đồng thời là nguồn thức ăn tự nhiên giàu dinh dưỡng và chứa vi sinh vật probiotic có lợi.
Việc xem xét các yếu tố này đặc biệt quan trọng khi nuôi tôm biển trong môi trường nước có độ mặn thấp, bởi đây là điều kiện tương đối khắc nghiệt đối với tôm. Vì vậy, việc tạo ra các điều kiện thuận lợi hơn về chất lượng nước và bổ sung thức ăn tự nhiên được coi là những giải pháp thay thế phù hợp cho nuôi tôm thẻ chân trắng siêu thâm canh tại các vùng nội địa có độ mặn thấp. Cần lưu ý rằng các kết quả hiện tại chỉ phản ánh thời gian nuôi ngắn, do đó một chu kỳ nuôi đầy đủ cần được thực hiện để xác nhận tác động tích cực của hệ thống synbiotic đối với nuôi tôm thẻ chân trắng siêu thâm canh.
Kết luận
Hệ thống synbiotic được xem là một giải pháp đầy tiềm năng cho nuôi tôm thẻ chân trắng siêu thâm canh trong môi trường nước lợ, vì nó kiểm soát các hợp chất nitơ hiệu quả hơn so với BFT, đồng thời cung cấp nhiều vi sinh vật phù du như trùng lông và amip hơn so với cả RAS và BFT. Ngoài ra, hệ thống này còn giúp tôm đạt tỷ lệ sống cao, năng suất lớn và FCR thấp hơn so với RAS và BFT.
Theo Otávio Augusto Lacerda Ferreira Pimentel, Michael H. Schwarz, Jonathan van Senten, Wilson Wasielesky, Stephen Urick Andrezza Carvalho, Ethan McAlhaney, Jireh Clarington, Dariano Krummenauer.
Biên dịch: Nguyễn Thị Quyên – Tôm Giống Gia Hoá Bình Minh
Xem thêm:
- Vi Khuẩn Kháng Kháng Sinh, Phần 1
- Vi Khuẩn Kháng Kháng Sinh, Phần 2
- Hiệu Ứng Tích Lũy Và Điều Hòa Từ Hỗn Hợp Kim Loại Zn, Pb Và Cd Trong Tôm Nhiệt Đới Penaeus vannamei
English
中文 (中国)