Restricting dietary protein for the first 14 days post-yolk sac absorption significantly increased fish length, weight and feed efficiency after 56 days of culture

Nutritional programming, also known as nutritional conditioning or imprinting, is the concept that dietary nutrient contributions or other environmental factors experienced early in development influence organismal structure or function and can thus lead to lifelong changes in key elements of an animal’s physiology, including growth, metabolism, cardiovascular function and life span.

Early nutrition can alter the function of the gastrointestinal tract by affecting the development of the mucosa to protect against pathogens and the ability to take up nutrients. Thus, altering nutrient levels early in development can have major repercussions for immune function, the absorption of nutrients and the efficiency with which these nutrients are used by the body. Further, nutritional programming can alter the composition of the intestinal microbiota, which has emerged as a key factor in health and the prevention of diseases due to the ability of these microorganisms to synthesize vitamins, break down toxins and act as antimicrobial agents against pathogenic bacteria.
Nutritional programming has been of great interest in human health with regards to the effect of prenatal maternal nutrition as well as postnatal diet composition on offspring development and the pathogenesis of diseases such as obesity and diabetes later in life. However, research to date indicates that this phenomenon is likely widespread across vertebrate taxa and thus it could have substantial implications in agriculture and aquaculture for enhancing the growth and health of food animals and also reducing environmental impacts.
The effectiveness of applying nutritional programming to Nile tilapia (Oreochromis niloticus) culture remains poorly understood despite the high rate of increase in its global farmed production. There is some evidence that during periods of fasting, nutrient uptake efficiency in the intestine is intrinsically enhanced. Thus, decreasing the amount of select nutrients early in life may increase the uptake and utilization of those nutrients during the grow-out phase of fish culture.
This article – summarized from the original article (Deck, C.A. et al. 2023. Nutritional programming in Nile tilapia (Oreochromis niloticus): Effect of low dietary protein on growth and the intestinal microbiome and transcriptome. PLoS ONE 18(10): e0292431) – presents the results of a study that investigated whether nutritional programming can be applied to Nile tilapia by restricting dietary protein levels early in development.
Study setup

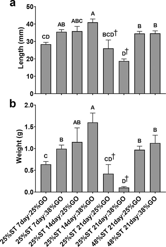
We examined the effects of feeding Nile tilapia fry a restricted protein diet for the first 7–21 days on growth, gut microbial flora and the intestinal transcriptome. Fish were fed either a 25 percent restricted or 48 percent control crude protein starter (ST) diet for up to 21 days and then switched to a 25 or 38 percent control crude protein grow-out (GO) diet.
Post-yolk sac Nile tilapia fry were obtained from the Louisiana Specialty Aquafarm (Harvey, LA, USA) and transferred to the Grinnell’s Fish Laboratory at North Carolina State University (NCSU; Raleigh, NC, USA) where they were stocked in 10-liter AHAB tanks (Aquatic Habitats, Pentair Aquatic Ecosystems; Cary, NC, USA) at a density of 38 fry per liter (0.46 grams per liter) at 26 degrees-C with a 12-hour light, 12-hour dark photoperiod.
For detailed information on the experimental design, fish husbandry, sample collection and analysis, refer to the original publication.
Results and discussion

Nutritional programming has the potential to enhance nutrient utilization and feed efficiency in aquaculture. As protein reflects the costliest component of formulated feeds, reductions in its content could greatly enhance production efficiency for farmed tilapia. We examined the effects of restricting dietary protein for 7-, 14- or 21-days post-yolk sac absorption in Nile tilapia and determined that providing a 25 percent crude protein (CP) starter (ST) diet for 7 or 14 days and then switching to a control 38 percent CP grow-out (GO) diet did not negatively impact growth or survival relative to fry fed a 48 percent CP diet initially for the 56-day trial (Figures 2 and 3).
In fact, fry fed the lower protein diet for 14 days were significantly larger than the control fish after 56 days of culture suggesting that the initial conditioning period allowed for better conversion of feed (Fig. 4) and improved skeletal and somatic growth in these fish.
Restricting protein for 21 days, however, led to both diminished growth and a significant reduction in survival rate, indicating that protein restriction should not be extended beyond 14 days post-yolk sac absorption.
Interestingly, fry fed the 25 percent CP ST diet for 14 days followed by the 25 percent CP GO diet had similar final lengths and weights as fish in the 48 percent ST, 21-day groups and significantly better feed conversion than fish in the 25 percent ST, 7-day groups and in the 48 percent ST, 21-day groups. Previous studies show tilapia may grow similarly on lower CP diets (25–27 percent) relative to higher protein diets, albeit the effect may be diminished if tilapia are provided lower CP diets at fry stages (0.5 grams) later than that tested here.
The results suggest that nutritional programming in tilapia is likely possible if protein restriction commences immediately following post-yolk sac absorption and is limited to under 14 days. The ability to lower the protein content in diets early has the potential to improve growth and enhance the efficiency of producing tilapia fry in tank culture. Even the use of lower protein grow-out diets have negligible impacts on growth following low protein nutritional programming. However, as the present study terminated at 56 days, we do not know whether the trend observed in growth with restriction of protein beginning after yolk-sac absorption will continue until the fish reach marketable size.

The establishment of beneficial gut flora to increase nutrient absorption is an emerging research focus in human biology and aquaculture and could augment existing practices of sustainable feeding and reduction in environmental footprint. Studies in Nile tilapia have shown that increases in intestinal microbial diversity are correlated with greater feed conversion. In the present study, there were no major differences in diversity between fish initially fed the 25 percent CP diet and those fed the 48 percent CP diet and although the relative abundance of the identified phyla changed over time (shifting from Proteobacteria early on to more Chloroflexi and Fusobacteria), no diet-specific patterns emerged when comparing differences in protein content. While seemingly not the most interesting result, this indicates that in general, limiting dietary protein will not negatively impact the gut microbial flora in tilapia.
There were, however, differences in microbial community diversity when shifting the fry from the starter diets to the grow-out diets, regardless of the protein content given. This could be due to differences in the ingredient composition of the starter versus grow-out diets. The main differences between the formulations of the starter and grow-out diets were that the starter diets included bloodmeal and wheat gluten, while the grow-out diets did not.
We evaluated the effects of the restricted diet on growth and survival and used a transcriptomic approach to determine the suite of genes in the intestine that are affected by early protein restriction. Additionally, we performed a marker gene microbiome survey to evaluate the effects of nutritional programming on microbial colonization of the gut. The establishment of beneficial microflora can affect nutrient availability and gut health and the emerging field of metagenomics has substantial implications for sustainable aquaculture as diet, feeding strategy, and other environmental factors strongly influence the diversity and constitutive abundance of intestinal microbiota in both humans and fish.
The mechanisms that may underlie nutritional programming remain poorly understood. The mechanisms of nutritional programming associated with enhanced growth, including potential epigenetic impacts, require further study.
Perspectives
Overall, restricting dietary protein (25 percent ST) for the first 14 days post-yolk sac absorption in Nile tilapia led to a significant increase in lengths and weights and better feed efficiency after 56 days of culture relative to fry fed normal protein diets (48 percent ST, 21-day/38 percent GO).
This suggests a type of compensatory growth in which the initial lack of protein may lead to better uptake and utilization of this nutrient later. Further, the protein-restricted diet showed no negative impacts on the gut microbial flora and the effects on the intestinal transcriptome were limited. Thus, our results indicate that tilapia are likely responsive to nutritional programming and that it may be possible to increase production efficiency by reducing the levels of protein in starter feeds for fry shortly after yolk-sac absorption.
By Russell J. Borski
Read more:
- Antibiotic-resistant bacteria, part 1
- Antibiotic-resistant bacteria, part 2
- Effect of copepod hydrolysate dietary inclusion on feed attractiveness for Pacific white shrimp
Tiếng Việt
中文 (中国)